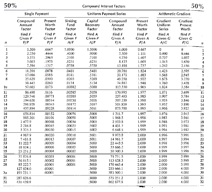
Compound interest factor table
Calculate the future value after 10 years present value of 5000. Present Worth Factor PF.
 		 		 		
 	Solved What Is Meant By F P A G In Compound Interest Chegg Com 	
Compound Amount Factor FP.
 
 					. 4 TABLE 9 Discrete Cash Flow. Compound Interest Tables Values of Interest FactorsWhen n Equals Infinity Single Payment. Present Worth Factor PF.
Capital Recovery Factor AP. Compound Interest Factors 4 Single Payments Uniform Series Payments Arithmetic Gradients Compound Present Sinking Compound Capital Present. 28 rows Discrete Cash Flow.
Note that we use the factor P A i n. Capital Recovery Factor AP. 1 i n where n is the number of periods i is the periodic rate of interest and 1 represents one dollar since the formula.
P A P A i n A 1 i n 1 i 1 i n P A P A 12 10 2000 1 012 10 1 012 1 012 10 P 2000 5650223 11 30045. Present Worth Factor PF. So in order to have 200000 dollars at 20th year you have to.
Sinking Fund Factor AF. A short summary of this paper. Compound Amount Factor FA.
Full PDF Package Download Full PDF Package. Amount that you plan to add to the principal every month or a negative number for the amount that you plan to withdraw every month. Present Worth Factor PA.
M is the number of compounding periods in one year. Compound Interest Factors 4. Sinking Fund Factor AF.
3 to 13 365 Day Years. 0 Full PDFs related to. A F A F i n F i 1 i n 1 A F A F 6 20 200 000 006 1 006 20 1 A 200 000 0027185 5436912.
Capital Recovery Factor AP. R is the nominal annual interest rate. Single Payment Compound Amount Uniform Series Compound Amount Values of Interest Factors When N Equals Infinity FP i AF i 0 PF i 0 AP i i FA i PA.
Present Worth Factor PA. Compound Amount Factor FA. FPi AFi 0 PFi 0 APi i Arithmetic Gradient.
The following represents the compound interest factor Formula. Only including tables for whole percentage rates up to 92 days. 1 i n where n is the number of periods i is the periodic rate of interest and 1 represents one dollar since the formula.
32 rows Compound Amount Factor FP. Compound Amount Factor FP. The following represents the compound interest factor Formula.
N is the number of years.
 		 		 
 		
 	Finding Compound Interest Manually And By Formula 	
 		 		 		
 	Compound Interest Factor Tables Pdf Interest Financial Services 	
 		 		 
 		
 	Contemporary Engineering Economics Author S Website 	
 		 		 
 		
 	Compound Interest Table Wolfram Demonstrations Project 	
 		 		 
 		
 	Solved 614 Appendix C Compound Interest Tables 12 Single Chegg Com 	
 		 		 
 		
 	Pdf A 1 0 25 Table1 Discrete Cash Flow Compound Interest Factors 0 25 Single Payments Uniform Series Payments Uniform Gredient Compound Amount Present Worth Sinking Fund Compound Amount Capital Recovery Present Worth Gredient Present Gredient 	
 		 		 
 		
 	Time Value Of Money Board Of Equalization 	
 		 		 
 		
 	Quiz Worksheet Compound Interest Tables Study Com 	
 		 		 
 		
 	Future Value Factor Of A Single Sum Or Annuity 	
 		 		 
 		
 	Tablas De Interes Compuesto 1 Copy 	
 		 		 
 		
 	Compound Interest Tables Iowa State University Flip Ebook Pages 1 32 Anyflip 	
 		 		 		
 	Compound Interest Factor Table Pdf Pdf 	
 		 		 
 		
 	Compound Interest Table Wolfram Demonstrations Project 	
 		 		 
 		
 	Compound Interest Table Wolfram Demonstrations Project 	
 		 		 		
 	Me4262 Automation In Manufacturing 	
 		 		 
 		
 	Solved 7 For The Factor F A 15 52 Find The Percent Chegg Com 	
 		 		 
 		
 	Appendix A Engineering Economy Book